当前位置: 首页 >> 通知公告 >> 正文

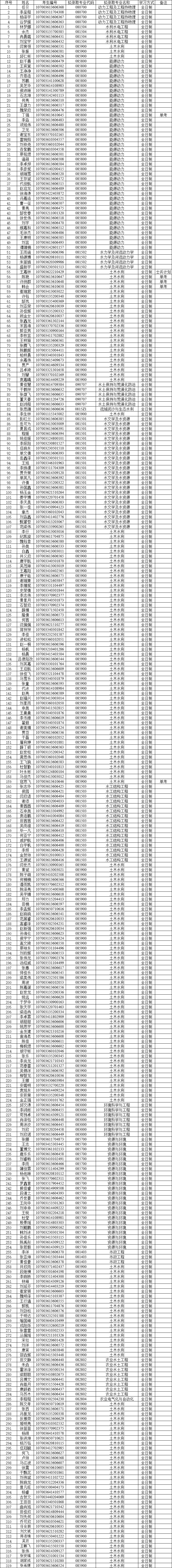
Beat365中文官方网站2023年硕士研究生拟录取名单公示(一志愿)

2023年04月04日 20:42  点击:[]

Beat365中文官方网站2023年硕士研究生拟录取名单公示(一志愿)

 

上一条:西北旱区生态水利国家重点实验室X射线显微镜(XRM)正式开放运行通知 下一条:西安理工大学Beat365中文官方网站2023年硕士研究生 ( 一志愿 ) 招生复试公告

关闭